生成模型基础 06 GAN
Generative Adversarial Networks
Metrics
From complex distribution to simple distribution
生成模型的核心:给定随机噪声,生成想要的结果形式 e.g. text、image
假设随机变量X服从一个非常复杂的无法显示表示的分布Q,我们该如何从Q中生成数据?
假设我们已知Q的累计概率密度函数F(x),F(x)有如下性质:

- 假设我们可以算出F(x)的逆函数F(x)^(-1),则可通过下面的算法采样Q:
- 从均匀分布中采样Z
- X = F(Z)^(-1)服从Q

代入X=F(Z)^(-1)后,X的随机性变为Z的随机性。再对等式两侧同时作用F可得𝑃(𝑍 < 𝐹(𝑡)) = 𝐹(𝑡)
从而如果Q的反函数可求,可利用均匀分布采样出复杂分布Q
问题:Q未知,F(x) 和 F(x) 的反函数都不可求,因而需要神经网络来解决
VAE问题:VAE较浅,用小网络做image generation任务时,image真实性和质量较差
解决方法:可以使用GAN来实现从简单噪声中采样,经过复杂的函数变换生成image

GAN is a kind of implicit generative model
生成图像的模型可以分为两类:
- 显式模型:
- 已知模型参数
- 给定任何数据,都可以算出其出现的概率,可以计算出数据集出现的概率
- 可以使用MLE进行优化
- e.g. AR model
- 隐式模型:
- 已知模型参数
- 对于每个样本,无法计算出概率密度
- 无法通过MLE优化,需要其他的loss
- e.g. VAE、GAN
- 显式模型:
隐式模型问题:希望关心模型生成结果的好坏,那么该如何估计生成数据与真实数据之间的差异?
Difference metrics
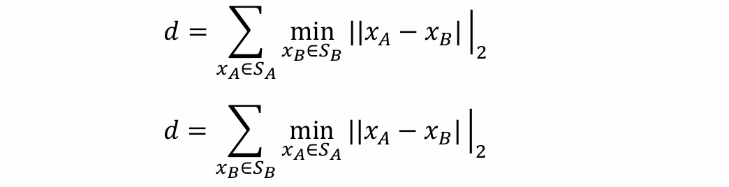
给定两个点A、B,可以计算两个点间的欧氏距离:𝑑 =||𝑥𝐴 −𝑥𝐵||2
给定两个集合SA、SB,一种简单的办法是可以计算两个集合这种距离最近的点

问题:两个集合部分重合的时候,这种距离不再适用
解决方法:可以计算集合A、B中的点到集合B、A最近距离之和

Difference between two distributions
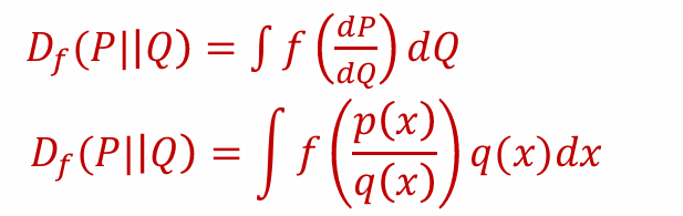
可以使用f-divergence来评估两个分布的距离
将 𝑃(𝑥) 表示为一个分布(其密度为 𝑝(𝑥))、𝑄(𝑥) 作为另一种分布(密度为 𝑞(𝑥))
函数f:[0, +∞] -> [-∞, +∞]满足性质:
- 凸函数
- 非负函数
- f(1) = 0
- 有限
则f-divergence定义为:

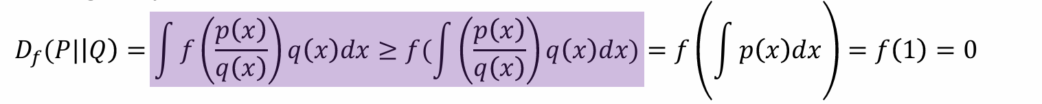
f-divergence不是严格意义上的距离:不满足三角不等式和对称性
f-divergence是非负的,证明:

- 函数f需要预先定义好
KL divergence

total variation distance
- 全变差距离:对差的绝对值进行积分

Jensen-Shannon(JS) divergence

- f-divergence作用:衡量生成数据和真实数据分布的差异有多大,从而降低这个差异优化模型,从而生成更真实的image
GAN
- 学习生成模型(最小化)Jensen-Shannon-divergence

P∗是gt,希望逼近;Pθ是模型生成的数据,希望minimize P∗和Pθ的差别
JS散度希望尽可能的小:

前者是真实数据的期望,后者是生成数据的期望,二者形式接近但是关心的期望不同
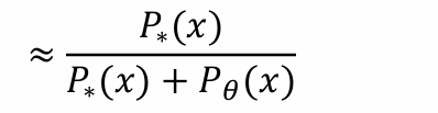
问题:难以计算P∗(x)和Pθ(x)。前者无法计算,后者经过了复杂的神经网络,难以估计
解决方法:可以从二者的物理意义入手,用其他方法做估计

- 观察到二者均属于[0, 1],且分母相同,相加为1

- 说明P∗(x)趋近于0,x不太可能是从gt中采样得到

反之,说明Pθ(x)趋近于0,说明x不太可能是从模型生成数据中采样得到的
可见,可以构建一个二分类器Dθ’(x)来判别数据x是从gt中得到的还是从模型生成出来的:
- 如果认为是模型中生成出来的,则输出0
- 如果认为是从gt中采样出来的,则输出1
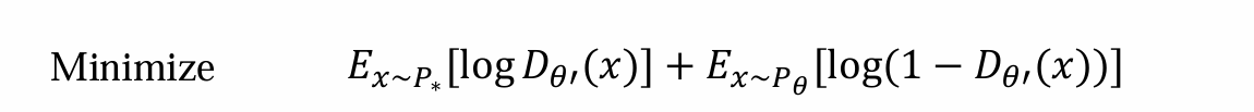
目的:由于P∗(x)和Pθ(x)无法计算,因此用Dθ’(x)的结果来代替:

- 替换后可得,生成模型的优化是:

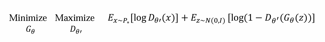
训练Dθ’:假设生成模型为Gθ(z),从噪音z中生成数据
- 从gt中采样K个数据:[positive, 𝑆𝑝𝑜𝑠],希望Dθ’输出label为1
- 从Gθ(z)中采样k个数据:[negative, 𝑆𝑛𝑒𝑔],希望Dθ’输出label为0
则Dθ’需要优化maximize acc:前面式子是在真实数据中最对的,后面式子是在Gθ(z)中最对的

训练:
- 从gt中采样K个数据:[positive, 𝑆𝑝𝑜𝑠]
2,使用不同噪声z,从Gθ(z)中采样K个数据:[negative, 𝑆𝑛𝑒𝑔]
- 从gt中采样K个数据:[positive, 𝑆𝑝𝑜𝑠]
Gθ(z)需要优化minimize loss:前面式子与Gθ(z)无关,而后面式子希望minimize等价于希望骗过Dθ’,让其无法分别

- GAN的训练过程:

Dθ’的目的是为了能够计算JS散度
Gθ的目的是通过训练最小化JS散度提高生成质量
Overview of GAN
- 模型Gθ可以采样数据:

- 希望可以评估P∗(x)和Pθ(x)之间的差异 -> 引入JS散度


- 因为P∗(x)和Pθ(x)不可求,根据其意义,定义二分类器模型Dθ’

- GAN:

Algorithm

- 训练过程:
- 初始化
- 更新Dθ’,提高其性能,使其可以区分P∗(x)和Pθ(x)
- 更新Gθ,使其向gt靠拢
- 重复以上两步,理想状态下,直到Dθ’无法判别,收敛到输出恒为1/2

WGAN
Tough training of GAN

- GAN训练中的问题:
- 非凸非凹,难以训练和优化
- G和D能力上需要相近,然而训练开始阶段D的能力往往显著强于G。G和D参数需要兼容
- 模式崩溃问题:只生成了一部分数据也可以使得loss很低,但是没有完成GAN的目标

- 对超参数的选取非常敏感
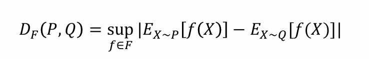
Integral probability metric(积分概率度量IPM)
动机:如果分布 𝑃 = 𝑄,对于任何实值函数 𝑓,有 𝐸_{X
𝑃}[𝑓(X)] = 𝐸_{X𝑄}[𝑓(X)]naive想法:若P、Q不同,则选f(x)对P、Q取期望,取绝对值度量差异 |𝐸_{X
𝑃}[𝑓(X)] - 𝐸_{X𝑄}[𝑓(X)]|问题:对f的依赖严重,难以找出合适的f
解决方法:取函数族F,含有多个f,遍历F取最大的绝对值差。也满足若P = Q,则DF(P, Q) = 0

- 问题:无法遍历F
Wasserstein distance
- 解决方法:对F进行约束,约束F为满足1-Lipchitz函数的函数族

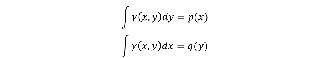
- Γ(𝑃,𝑄)是定义在X*X上的联合概率分布,其中任意 𝛾 ∈ Γ:

注:上式应为q(y)
可以借助“愚公移山”辅助理解,现在希望移动分布p(x)使其变为q(y), 𝛾(x, y)是想要从位置x移动到位置y所移动的概率质量,然而“移动过程”本身需要对其加以限制

上面的积分含义:从x移出的概率质量和原来在x位置上的概率质量分配是相同的,移出过程不增不减
下面的积分含义:移过来y接收的概率质量都是从x的某个位置移动过来的,因此为对x积分
假设存在一个成本函数,如果你将一个单位从 𝑥 移动到 𝑦,则成本为 𝑐𝑜𝑠𝑡(𝑥, 𝑦) = |𝑥−𝑦|,那么可得:

- Wasserstein distance用于刻画物质不增不减时,如何移动cost最低
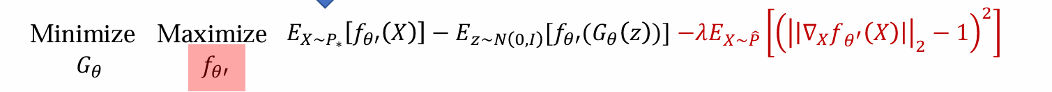
WGAN
WGAN的核心思路:使用 Wasserstein distance作为评估标准训练生成模型
问题:依旧无法遍历F,不可算
解决方法:利用神经网络,引入critic网络。本质上是遍历F取最大值(Wasserstein distance定义),则可以用梯度上升优化

化简技巧:绝对值取max,可以脱掉绝对值取max
minimize:希望生成的data和真实分布尽可能的接近
maximize:希望更好的估计 Wasserstein distance
问题:神经网络刻画的f和1-Lipchitz函数计算可能完全不同,从而无法准确描述函数族F,因此需要对神经网络加以约束
性质:在有界闭域上的连续函数具有有限的Lipschitz常数。参数θ’是有限闭集且连续,因此可以使用weight clipping限制参数范围

做完梯度上升后clip,使其限制在一个范围内,从而使得Lipchitz有限
问题:仍然无法控制Lipchitz系数,现在只是有限,而不一定为1
解决方法:使用Gradient prnalty,1-Lipchitz函数指的是||f(x)−f(y)||≤|x−y|,∀x,y,即任意两点斜率不超过1
因此在优化中,只希望在导数小于等于1的神经网络优化,而不在导数很大的地方对神经网络优化

上式在Lipchitz系数很大的位置,-1取平方后的值很大,从而不进行优化,只在距离1比较近的地方计算Wasserstein distance
WGAN的优势:训练稳定
Overview of the design philosophy


