生成模型基础 07 Normalizing Flow
Normalizing Flow
Looking back
VAE特点:
- 浅层网络
- 非序列化
- 重建进行复原image
Autoregressive特点:
- 深层网络
- 序列化
- 可以通过MLE优化
GAN特点:
- 深层网络
- 非序列化
- 通过近似距离用神经网络评估
希望非序列化(image 难以表征为序列),但是可以通过MLE进行优化 -> Normalizing Flow
Normalizing Flow的特点:
- 深层网络
- 非序列化
- 可以通过MLE优化
normalizing flow和AR的区别:normalizing flow是非序列的;换相比于VAE和GAN,可以计算密度,从而可以使用MLE方法优化
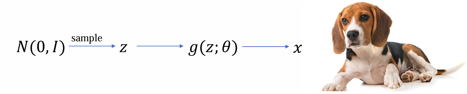
标记法:
- image -> x
- noise -> z
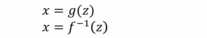
- generator -> g(z)
- 目标:学习g(z),使得g(z)生成结果接近于x
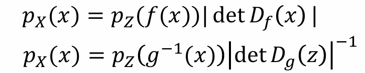
生成模型的流程可由下图所示,我们希望设计一个方法使得给定任意x,我们都能计算出使用生成模型生成出这个sample的概率密度p(x; θ)
若似然函数已知,则可以用MLE进行优化

- 思路:若g(z)可逆,则给定x可以通过g(x)的反函数得到唯一的z,也就是说x和z一一映射,相互唯一确定。那么如果z可算(简单分布) -> x的概率可算
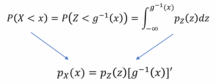
The change of variables theorem: one dimensional
设𝑍是一个具有概率密度 𝑝𝑍(𝑧) 的随机变量,𝑋=𝑔(𝑍),其概率密度为 𝑝𝑋(𝑥)(下标是关心的变量)
假设𝑔有可逆函数𝑔−1,为方便起见,𝑔是单调递增的,且g和g-1都是可导的,从而可以推出:

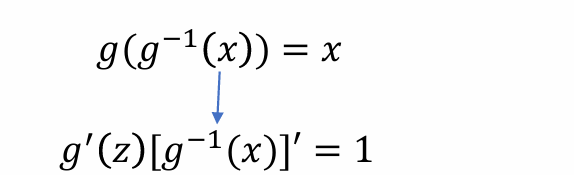
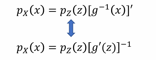
- 问题:[g-1(x)]’该怎么化简,希望右侧都是变量z,由于:

- 从而带入可得(g:z -> x):

- e.g.:Z
U(0, 1),若X = 2 * Z,则XU(0, 2),根据上述公式可得:

- 给定数据集:𝐷 = {𝑥1,….,𝑥𝑛},则:

- 虽然上式可算,但是问题是对model有很强的假设:
- z <-> x 可逆
- 反函数及其导数可算
- 并且对模型θ的导数可算
High-dimensional case
设𝑍∈ℝᵈ 是一个具有概率密度 𝑝𝑍(𝑧) 的随机向量,𝑋=𝑔(𝑍)∈ℝᵈ 是一个具有概率密度 𝑝𝑋(𝑥) 的随机向量。g:ℝᵈ -> ℝᵈ是可逆的且可导(Diffeomorphisms (微分同胚))
X由Z生成,而Z可以认为由Z1,…,Zd组成,因此: 𝑥=𝑔(𝑧)=(𝑔1(𝑧1, …,𝑧𝑑) ,…,𝑔𝑑(𝑧1, …𝑧𝑑))
导数为雅各比矩阵:

- 由一维的公式拓展到高维可得以下公式,对其进行化简,vol为一个小的体积单元:

- 生成器 𝑔 将简单概率密度 𝑝𝑍 推进到更复杂的密度 𝑝X

逆函数 𝑓 = 𝑔−1 的运动方向相反(flow):将复杂分布 𝑝𝑋 归一化(normalizing)为更规则的简单分布 𝑝𝑍
flow:反过来回传,将复杂的分布归一化为一个简单的噪音
可以计算每个样本的似然函数,从而通过计算梯度来进行优化

Connection to VAE

- decoder可以理解为:给定z,生成x

- 但是normalizing flow的设计理念和VAE有很大不同,和VAE的本质区别在于:
- encoder和decoder有更高的要求,需要二者为严格的反函数,而VAE没这个要求
- normalizing flow可以用比较深的模型

normalizing direction:起到encoder的作用,将复杂的分布进行归一化
而normalizing flow计算的时候,既可以通过g:z -> x计算,也可以通过f:x -> z计算

trick in practice:可以用两套不同的参数化方法处理x和z,同时既可以选择参数化g,也可以选择参数化f
实际应用中选择f和g的效率会很不同,通常只会选择一个进行参数化,否则不能保证为反函数
Applications: density estimation

概率密度估计的目标:给定x,输出是p(x)的估计
应用场景:
- 概率模型的输出具有随机性,但实际应用中需要选出最好的,因此需要根据概率密度排序选出最佳
- 异常检测/新颖检测,MLP计算出概率低的值
假设我们已经有了模型(f or g)

若参数化f:f(x) = z,可以通过计算p(z)和计算行列式的绝对值求出
若参数化g:需要先算出g-1,再按照f的方法计算
因此对于概率密度问题,参数化f无需计算反函数,因此应该参数化f
Applications: sampling

采样的目标:和生成模型目标接近,给定噪声z,希望输出复杂分布p(x)
应用场景:生成模型
假设我们已经有了模型(f or g)

- 显然参数化g无需计算反函数,对于采样任务应该参数化g
Challenge
问题:用神经网络建模f,g涉及多种复杂的非线性操作,映射复杂,无法保证其是否可逆
因而需要对网络做特殊的要求限制
核心挑战:在normalizing flow中,需要找到一个可以计算映射的函数类
要求:这个函数类需要是方便计算、求逆以及求其雅可比行列式的行列式
Constructing flow: basic properties
flow的模型层需要是可逆函数复合成的:假设g1,g2存在反函数,且都可导,都可对θ求导,那么复合函数𝑔(𝑧) = 𝑔2◦𝑔1(𝑧)=𝑔2(𝑔1(𝑧))也是可逆的
𝑔−1 = 𝑔1−1 ◦ 𝑔2−1 = 𝑓1 ◦𝑓2
Composition of layers
- normalizing flow的layer由多个可逆的layer(多可可逆变换)串行形成

问题:如何构建基本单元?组合函数的Jaccobi怎么计算?
Composition of invertible functions:设 𝑔(𝑧) = 𝑔𝑁 ◦⋯◦ 𝑔1(𝑧),𝑥𝑛 = 𝑔𝑛◦…◦𝑔1(𝑧)是经过g1,…,gn变换的结果,若n=N则为x
Composition of Det:

Elementwise flow
逐元素,每个元素执行相同的函数h:𝑔(𝑧) =(ℎ(𝑧1) ,ℎ(𝑧2) ,…ℎ(𝑧𝑑))
如果h是可逆的,那么g(z)是可逆的
其中h可以是任何合理的激活函数

问题:没有提取不同维度间的相关性,没有提炼“特征”
优点:简单,计算效率很高;缺点:表达能力差
Linear flow: 𝑔(z) = 𝐴𝑧 + b
𝑔(z) = 𝐴𝑧 + b,其中A是dxd矩阵,b是偏置
如果A是可逆的,那么g(z)可逆,g−1(𝑥) =𝐴−1(𝑥−𝑏),并且具有以下性质:

- 问题:计算一般矩阵的行列式需要 𝑂(𝑑³) 的成本,效率很低
Linear flow with triangular matrix

形式仍然是 𝑔(𝑧) = 𝐴𝑧 + b,如果𝐴是对角线元素非零的三角矩阵,那么𝐴是可逆的
根据三角矩阵的性质可得:

- 计算逆矩阵需要 O(d²) 的成本
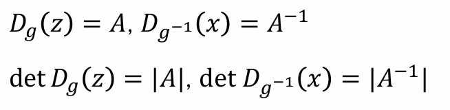
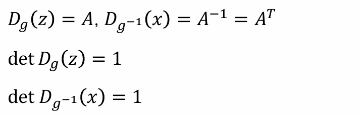
Linear flow with orthogonal matrix
形式仍然是 𝑔(𝑧) = 𝐴𝑧 + b,如果𝐴是正交矩阵,那么𝐴是可逆的
根据正交矩阵,具有以下性质:

由于正交矩阵的逆矩阵可以直接求出,所以x ->z和z ->x的计算代价完全一致
正交矩阵的行列式为1或者-1,可以通过参数化的方法使其为1
问题:要求训练过程中始终保持正交矩阵,然而朴素的方法无法保证梯度回传后仍然是正交矩阵
解决方法:技巧:参数化v,在v中计算

- 将上述 linear flow and elementwise flow组合起来,类似于MLP

- 优点:表达能力很强;缺点:效率很低,无法在实际中应用
Residual flow 1
g(𝑧) = 𝑧 + ℎ(𝑧),可以将z人为拆成两个部分:𝑧=(𝑧1,𝑧2), 𝑧1 ∈ 𝑅𝑑1 𝑧2 ∈ 𝑅𝑑−𝑑1
然后对z1,z2应用变换,注意x2计算h2作用于x1上而不是h1


h1,h2不加过多假设,否则导致雅各比矩阵难算,导致效率低
优点:能力很强,实践中实用;缺点:效率很低
Residual flow 2
𝑔(𝑧) = 𝑧 + ℎ(𝑧),如果加以Lipchitz constraint:Lip(ℎ)<1,则可以保证g(z)可逆
优点:表达能力强,较为实用;缺点:效率很低




